This website requires JavaScript.
Explore
Help
Sign In
kebekus
/
Funktionentheorie
Watch
1
Star
0
Fork
0
You've already forked Funktionentheorie
Code
Issues
Pull Requests
Actions
Packages
Projects
Releases
Wiki
Activity
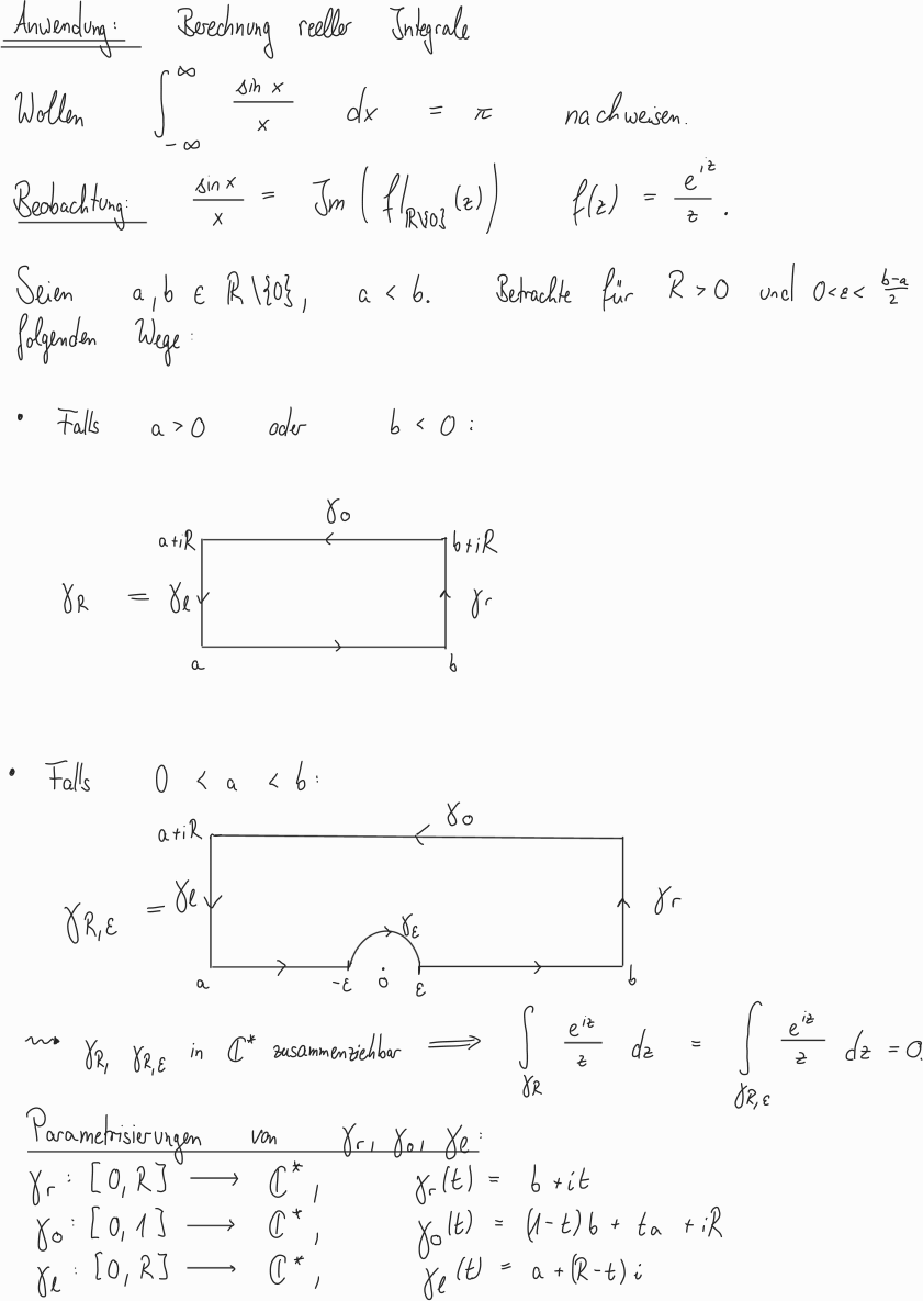
Files
c9fbfc559f17e39c8b8039a80134148c3f71c053
Funktionentheorie
/
04-integration-1.png
Stefan Kebekus
bfc450f229
Working
2025-10-22 10:48:07 +02:00
57 KiB
841x1185px
Raw
History